281-772-9069     info@brilliancenutrition.com
BLOG
Share the latest blog posts with you
| BLOG
SAM-e (S-Adenosyl-L-Methionine):Struggling with depression, joint pain and liver disease
2026-02-13    120

S-Adenosylmethionine (also known as S-Adenosyl-L-methionine)

English name: S-adenosyl-L-methionine

Abbreviation: SAM, SAM-e or AdoMet

Molecular formula: C₁₅H₂₂NOS

Molecular weight: 399.4

Structural formula: As shown in the figure

CAS No.: 97540-22-2

Appearance: White crystalline powder

Functions: Maintaining normal cellular functions, promoting cell regeneration, providing antioxidant effects and scavenging free radicals.


SAM-e (S-adenosyl-L-methionine or AdoMet) occurs naturally in the human body and participates in a series of essential metabolic reactions. S-adenosylmethionine (SAM) was first discovered by the scientist Cantoni in 1952. It exists widely in various organisms and participates in more than 40 biochemical reactions in the body, playing an important role in the synthesis of proteins, nucleic acids, neurotransmitters, phospholipids and vitamins. As a key metabolic intermediate, S-adenosylmethionine is crucial for the normal operation of metabolic activities in the body. SAM can not only alleviate the suffering of patients with liver disease and depression, but also has almost no side effects on the gastrointestinal tract. In addition, SAM can help prevent cardiovascular diseases, cancer and delay aging. The market demand for SAM is extremely large. It is classified as a dietary supplement in the United States and as a prescription drug in some European countries. Some people take it to treat depression, joint and muscle disorders, liver diseases, etc.

For this product, there are currently differing views, among which:

Supporters believe:

- Helps treat osteoarthritis

- Protects the liver

- May help treat depression

- May improve cognitive function

- Potentially safe for pregnant women

Skeptics believe:

- Causes stomach upset

- May trigger anxiety and mania

- May interact with various medications

Let's first take a look at how it works:

As a donor of methyl groups and organic sulfur, SAM-e drives complex metabolic reactions that regulate cell growth and life cycle, inflammation, brain chemistry, and more. SAM-e prevents uncontrolled cell division, a key characteristic of cancer cells. It also inhibits MMP, an enzyme involved in cancer progression and inflammation. The brain requires SAM-e to produce serotonin, dopamine, and norepinephrine, which support mood, motivation, and overall mental health. It combats oxidative stress and protects cells by boosting the production of glutathione, a major antioxidant.

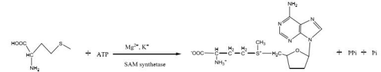
S-adenosylmethionine is synthesized intracellularly from adenosine triphosphate (ATP) and methionine through catalysis by methionine adenosyltransferase, forming an active, high-energy organic sulfur compound. When acting as a coenzyme in methylation reactions, it loses one methyl group and becomes S-adenosylhomocysteine. Most S-adenosylmethionine is produced in the liver. It plays an important role in transmethylation due to its "active methyl group". In higher organisms, more than 40 anabolic or catabolic chemical reactions involve the transfer of the methyl group from S-adenosylmethionine to substrates such as nucleic acids, proteins, and lipids.

Preparation Methods

· Chemical Synthesis: Reaction of SAM-e with a methyl donor (low yield, severe environmental pollution, difficult purification).

· Enzymatic Conversion: In vitro catalysis of ATP and L-Met by SAMS (short reaction cycle, high purity, pollution-free, but high raw material cost).

· Biosynthesis / Microbial Fermentation: Intracellular synthesis of SAM-e by microorganisms (small size, fast reproduction, strong metabolic capacity, easy to genetically modify), e.g. yeast.

At present, SAM-e is mainly produced by three methods: chemical synthesis, in vitro enzymatic conversion, and microbial fermentation.*Common strains: Pichia pastoris or Saccharomyces cerevisiae.

Physicochemical Properties

· Structure: SAM has two chiral enantiomers: (R,S)-SAM and (S,S)-SAM. Only (S,S)-SAM can be biosynthesized, utilized, and exhibits biological activity.

· Stability: SAM-e is extremely unstable and prone to hydrolysis under neutral or alkaline pH conditions. In addition, SAM-e undergoes spontaneous racemization and loses activity.

Measures to Improve the Stability of SAM-e In Vitro

1. Lower the pH value (pH < 1.5), which can effectively inhibit the hydrolysis and degradation of SAM-e.

2. Reduce storage temperature and humidity.

3. Combine with non-nucleophilic macromolecular anions to reduce the degradation rate of SAM through both charge and steric hindrance effects.

In fact, industrially used SAM is stored as SAM salts under light-proof, low-temperature, and dry conditions.

Inactivation Mechanism of SAM-e

1. The presence of high-energy sulfur in the SAM-e molecule activates the carbon atom adjacent to sulfur, making it susceptible to nucleophilic attack.

2. Spontaneous racemization of bioactive (S,S)-SAM into inactive (R,S)-SAM.

3. Hydrolysis of SAM to form adenine and S-pentosylmethionine.

4. The inactivation of SAM is greatly affected by pH, and also influenced by temperature and humidity.

S-Adenosyl-L-methionine disulfate tosylate ≥95%

Molecular formula: C₁₅H₂₂N₆O₅SWhite crystalline powder, transparent in aqueous solution, prone to decomposition.It exists in two isomers, but only (S,S)-SAM is biologically active.

Physiological Functions of SAMe:

S-adenosylmethionine (SAM-e): An important physiologically active substance widely found in living organisms. It participates in dozens of biochemical reactions in the human body and plays a crucial role in maintaining normal metabolic activities.

1. Transmethylation – Maintaining Normal Cellular Functions

-Due to the presence of high-energy sulfur, the methyl group on SAM-e is activated. Under the action of methyltransferase, the activated methyl group is transferred to macromolecules such as proteins, phospholipids and nucleic acids, while SAM-e itself is converted into adenosylhomocysteine.

-The biosynthesis of many nitrogen-containing substances, such as hormones, neurotransmitters, nucleic acids and phospholipids, requires methyl groups from SAM-e. These substances help maintain cell membrane integrity, increase cell membrane fluidity, and preserve normal cellular functions.

-SAM-e also provides methyl groups for important active substances including creatine, adrenaline, serotonin and carnitine.

-S-adenosylmethionine participates in the onecarbon cycle together with folic acid and vitamin B12 (as shown in the figure above). In addition to homocysteine metabolism, this cycle: produces red blood cells, supplies energy, supports the nervous system, and maintains mental health and cognitive function.

SAM-e is essential for proper methylation in the body. It keeps DNA methylated, which helps prevent cell mutations. It also methylates amino acids and phospholipids, and boosts the levels of important neurotransmitters. These actions contribute to the potential antidepressant and other beneficial effects of SAM-e.

2.Transsulfuration - Antioxidant Effect

SAM-e is an active precursor of sulfur-containing compounds. S-adenosylhomocysteine (SAH) is catalyzed by SAH lyase to form adenosine and homocysteine.

Homocysteine is converted to glutathione (GSH) under the action of a series of enzymes. Homocysteine is a risk factor for cardiovascular diseases, while GSH helps scavenge free radicals and peroxides produced in the body.

3.Aminopropyl Transfer Promoting Cell Regeneration

SAM is also the active precursor of polyamines in eukaryotes, such as spermidine and spermine.

Spermidine and spermine can regulate cell growth, and possess analgesic, anti-inflammatory and anti-aging effects.

Spermine is mainly involved in the formation and maturation of sperm in the human body, playing an important role in male reproductive health.

In addition, they exhibit antioxidant, anti-inflammatory and neuroprotective effects, and promote the regeneration of normal liver cells.

Effects and Applications

· Maintain normal cell functions

· Promote cell regeneration and provide antioxidant benefits

· Scavenge free radicals

Six Major Functions of Adenosylmethionine

1. Antioxidation, reducing liver cell damage

2. Detoxification, protecting liver cells from harmful substances

3. Repair liver cells, improve membrane fluidity, enhance Na⁺-K⁺-ATPase activity, restore cytoskeleton, and improve liver cell function

4. Promote liver cell regeneration

5. Anti-hepatic fibrosis, delaying the progression of liver disease

6. Increase insulin sensitivity and improve lipid metabolism

*Antioxidation, anti-aging, mood stabilization, liver protection, joint health

Application Fields of SAM-e

Pharmaceutical:

· Osteoarthritis

· Hepatobiliary diseases

· Depression

· Cancer

Dietary Supplements:

· Prevention of cardiovascular diseases

· Lipid-lowering

· Anti-aging, etc.

Cosmetics:

· Anti-aging

· Anti-inflammatory

· Repair, etc.

Applications of SAMe in Medicine:

-Osteoarthritis

As early as the late 1970s, SAM had been used to treat arthritis, relieve pain and promote tissue regeneration.

SAM-e has significant effects in promoting the healing of joint injuries, the formation of cartilage tissue, and in treating various types of arthritis.

Compared with traditional anti-inflammatory drugs, SAM-e has the advantages of mild side effects, rapid onset of action, no damage to the gastrointestinal mucosa, and no influence on prostaglandin synthesis.

Osteoarthritis (OA) attacks the cartilage of large joints, such as the knee or hip. It causes joint pain and stiffness, thereby reducing the patient’s quality of life.

A review of clinical studies involving more than 20,000 patients supports the use of SAM-e for osteoarthritis. It has similar efficacy to commonly used non‑steroidal anti‑inflammatory drugs (NSAIDs) with fewer side effects.

In a Cochrane review of four trials with 656 patients, SAM-e moderately improved pain and joint function compared with placebo. However, the authors noted certain flaws in the study design discussed under “Limitations and Precautions”.

Given that long‑term treatment with NSAIDs and other analgesics may lead to gastric ulcers and other adverse reactions, SAM-e may be a safer yet equally effective alternative.

-Treatment of Depression

The incidence of depression is rising, and standard treatments sometimes fail to relieve symptoms. Some people with depression have high homocysteine levels due to poor methylation.

Deficiencies in vitamin B12 and folic acid can impair SAM-e production, which in turn raises homocysteine and lowers serotonin and norepinephrine.

SAM-e is one of the most researched adjunctive treatments for depression. Extensive clinical reviews have confirmed its safety and efficacy. It acts faster than common antidepressants and produces similar results.

Cochrane, a large evidence-based database, reviewed 8 clinical trials involving more than 900 patients with depression. They concluded that SAM-e is as effective as antidepressant medications and noted its favorable safety profile. However, neither treatment was clearly superior to placebo.

In a recent study of 60 patients with mild to moderate depression, a combination of SAM-e and B-complex vitamins improved symptoms without causing side effects.

Based on four studies involving more than 170 patients, adding SAM-e (8001600 mg daily) to standard treatment can even combat treatment-resistant depression. It provides significant improvement in 3560% of patients.

Please note that health authorities recommend against combining SAM-e with antidepressants due to potential drug interactions (see Drug Interactionsbelow for more details).

The antidepressant effects of SAM-e may be more pronounced in men.

In addition to improving core symptoms of depression, SAM-e also enhances cognitive function in these patients and reverses sexual dysfunction caused by antidepressants in some of these trials.

SAM-e may help with mild to moderate depression, although its efficacy is comparable to placebo. It acts faster and has fewer side effects than traditional antidepressants.

SAMe can promote the transmethylation of dopamine in brain cells, serotonin in the blood, and epinephrine.

It also shows favorable effects on various types of depression, especially postpartum depression.

Advantages:

Faster onset of action compared with conventional antidepressants.

No side effects, no dose-related adverse reactions.

Good tolerance and rapid efficacy.

-Liver Protection

As mentioned earlier, S-adenosylmethionine enhances glutathione, a major antioxidant. Glutathione protects the liver against various chemicals, toxic metabolites, and oxidative stress.

In a meta-analysis of 12 clinical trials involving 705 patients, SAM-e significantly reduced two markers of liver injury: bilirubin and AST. The researchers observed these effects in patients with:

· Liver scarring (cirrhosis)

· Impaired bile flow (cholestasis)

· Alcoholic liver disease

· Cancer

This does not necessarily mean that SAM-e can treat these conditions.

Overall, SAM-e is safe and provides moderate benefits, but most patients respond even better to ursodiol.

SAM-e can also reverse the accumulation of cholesterol in the liver and protect it against toxic drugs such as acetaminophen (Tylenol) and steroids.

SAM-e helps maintain normal liver function, alleviates hormone-induced or other forms of cholestasis, and is effective in alleviating and treating alcoholic or non-alcoholic cirrhosis

as well as other liver function disorders. It also relieves various symptoms caused by cholestasis.

SAM-e can reverse liver poisoning induced by many compounds or drugs, and has a considerable therapeutic effect on liver failure.

*Bile Flow

Liver disease can lead to cholestasis or reduced bile flow. Bile acids and toxic metabolites accumulate, which can further damage liver cells. This condition may also occur during pregnancy and can increase the risk of birth complications.

According to two clinical reviews, SAM-e (1600 mg daily) can improve liver health markers in cholestasis and relieve symptoms such as itching, fatigue, and discomfort.

In three additional clinical trials involving more than 150 pregnant women, it improved symptoms of cholestasis, either alone or in combination with ursodiol.

In an analysis of 10 clinical trials (727 pregnant women), the same combination reduced birth complications caused by cholestasis. It decreased the rates of:

Cesarean section by 55%

Preterm birth by 64%

Fetal distress by 73%

The authors noted that some methodological flaws in these trials were potential sources of bias.

A small study of 18 pregnant women found no significant benefit.

*Alcoholic Liver Disease

Long-term alcohol consumption greatly increases oxidative stress and causes severe damage to the liver. Natural supplements such as SAM-e and silymarin have shown promising effects in patients with alcoholic liver disease.

In 123 individuals, SAM-e (1200 mg daily for 2 years) reduced the risk of death and liver transplantation. It provided greater benefits in the early stages of alcoholic liver disease.

SAM-e can enhance the liver’s antioxidant defense, stimulate bile flow, and reduce damage from alcohol and other toxins. Well-designed clinical trials are needed to confirm these effects.

-Fibromyalgia

Research is ongoing to explore complementary treatments for fibromyalgia, and SAM-e is one of them. According to a review of 70 clinical trials, SAM-e, magnesium, and L-carnitine showed the best results and the most potential for further research.

In 44 patients with fibromyalgia, SAM-e (800 mg daily for 6 weeks) reduced:

Muscle pain, Fatigue, Morning stiffness.

It also relieved depressed mood and improved pain tolerance in 17 patients with fibromyalgia.

In another trial of 34 patients, injected SAM-e had no effect on pain; however, it did slightly improve fatigue, sleep quality, and stiffness.

Insufficient Evidence: There is no valid clinical evidence to support the use of SAM-e for any of the conditions in this section.

-Cognitive Enhancement

The beneficial effect of SAM-e on glutathione production may also protect the brain from oxidative damage caused by toxins or degenerative diseases.

It reversed memory‑related cognitive problems in 46 patients with treatment‑resistant depression.

In 12 healthy individuals, supplementation with SAM-e (1600 mg daily) provided energy to the brain by increasing creatine production. This effect may underlie its improvements in mood and cognitive function, but the lack of placebo control prevents definitive conclusions.

In folate-deficient mice, SAM-e restored acetylcholine levels and enhanced cognitive function. Interestingly, SAM-e also reduced aggression in the animals. It acts by increasing choline availability in the brain.

The risk of folate deficiency increases with age and impairs cognitive function. In patients with the MTHFR mutation (677TT), folate and SAM-e deficiencies may also contribute to cognitive problems.

*Alzheimer’s Disease

In patients with Alzheimer’s disease, protein mutations and oxidative stress kill cholinergic neurons and lead to progressive cognitive decline. Brain levels of SAM-e also decrease, reducing antioxidant protection.

A nutritional supplement containing 400 mg of SAM-e improved symptoms in 14 patients with early-stage Alzheimer’s disease. The other active ingredients were:

Folic acid

Vitamin B6

Vitamin E

N-acetylcysteine

Acetyl L-carnitine

This combination of active ingredients may act synergistically, and we cannot determine the specific contribution of SAM-e to the overall benefit.

In 12 patients with moderate to advanced Alzheimer’s disease, the same formulation improved cognition, mood, and daily function by 30%. Both studies had small sample sizes and lacked placebo controls, making the results questionable.

In vitamin B‑deficient mice, SAM-e blocked the formation of inflammatory brain plaques, improved memory, and reversed disease progression.

-Anti-Cancer Effects

By supporting methylation, SAM-e can prevent the uncontrolled division of cancer cells and inhibit cancer-producing enzymes.

In studies on mice, scientists observed the inhibitory effects of SAM-e on several types of cancer:

Breast cancer

Liver cancer

Stomach cancer

Bone cancer

It even reduced the growth of metastases in some advanced-stage cancers.

Cell-based experiments have clarified the potential effects of SAM-e on different types of cancer cells, but they cannot inform us about its actual impact on living cancer patients.

Although preliminary research is promising, the safety and efficacy of SAM-e for cancer treatment remain unknown. Clinical trials are needed before we can draw any conclusions.

-Weight Loss

Many supplements are promoted for weight loss, but none are supported by strong clinical evidence or approved by health authorities. A healthy, calorie-controlled diet and increased physical activity remain the only effective strategies for weight management.

A group of scientists observed that SAM-e reduced insulin resistance and weight gain in obese, diabetic rats. A study on fat cells showed similar effects on insulin resistance.

Theoretically, SAM-e may indirectly reduce appetite by improving mood, since individuals with depression are more prone to overeating.

Of course, the above findings do not reveal anything about actual weight-loss effects in humans. Rigorous clinical trials should be designed to examine this.

Limitations and Warnings

Although SAM-e appears beneficial for a range of conditions, there are important limitations to consider.

Some clinical trials for depression and liver disease tested injected SAM-e, effects that may not occur with oral administration.

Reviews for osteoarthritis and fibromyalgia note that many studies had small sample sizes and design flaws such as inadequate randomization.

Studies of SAM-e for treatment-resistant depression also had small samples and lacked placebo controls.

Despite positive results for cholestasis in pregnancy, ursodiol remains the first-line treatment for this condition.

In addition, it helps alleviate the aftereffects of concussion and can increase sperm motility in infertile men.

Applications of SAMe in Dietary Supplements

SAMe is also widely used as a food additive. According to U.S. sales data, SAMe ranked fourth in sales among special nutritional supplements in 2000, reaching $170 million.

The price of SAMe raw material in the U.S. is over $1 million per ton (calculated as SAM salt).

Since its approval by the FDA in 1999, annual sales of SAM in the U.S. have exceeded $1 billion.

In 2000, Germanys Geno exported 180 tons of SAMe to the United States.

In the U.S. market, sales of SAMe products as food additives continue to grow, and it is expected to become a leading product among the third-generation functional foods in the United States.

Applications of SAM in Dietary Supplements

SAMe has the effects of lowering blood lipids, anti-aging, and preventing Alzheimers disease. It can also improve sleep disorders, heart conditions, and prevent cardiovascular diseases.

SAMe is also one of the best-selling nutritional supplements in the United States.

Applications of SAMe in Cosmetics

SAMe has anti-aging, anti-inflammatory and skin-repairing effects. In recent years, SAMe has been used in the production of anti-aging cosmetics (not permitted as an additive in China).

The main cosmetic benefits of glutathione include minimizing pores, moisturizing the skin, lightening spots and brightening the complexion, removing blackheads, and reducing wrinkles.

Summary

SAM-e promotes glutathione production and supports methylation. People with depression, liver disease, and folate deficiency produce less SAM-e and may benefit from supplementation. SAM-e may also help relieve joint and muscle pain, but evidence for cognitive benefits is insufficient. In most cases, the safe and effective dosage ranges from 800 to 1600 mg. Nausea, diarrhea, and other digestive issues are the most common side effects. SAM-e may also trigger anxiety and mania in susceptible individuals. Pregnant women should take SAM-e only under strict medical supervision, and everyone should consult a doctor before supplementation.